自贡网记者 卜一珊
近日,患者李大爷到市四医院泌尿外科就诊,门诊医师为他开出了第三批国家组织和使用药品“盐酸坦索罗辛缓释胶囊”和“盐酸二甲双胍缓释片”的首张处方,这标志着第三批国家组织药品集中采购在自贡落地执行。
![]()
记者在处方上看到,盐酸坦索罗辛缓释胶囊由原来的22元/盒降价到7元/盒,降幅达68.2%;二甲双胍缓释片药品由原来的15元/盒降价到2.85元/盒,降幅达81%,有效降低了患者的经济负担。“实在是没想到,便宜了这么多,这对我们老百姓来说是一件大好事。”患者李大爷说道。
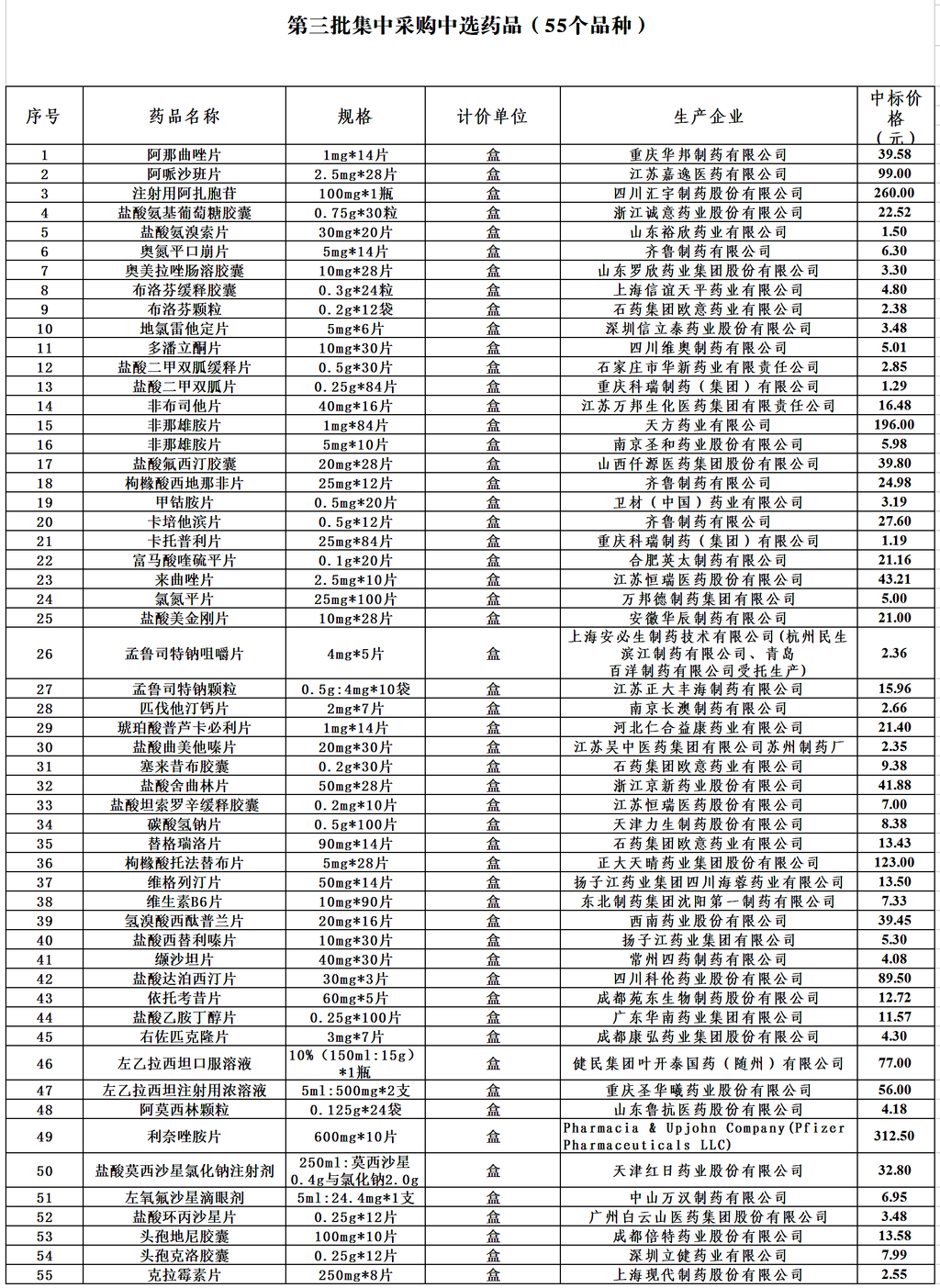
较前两轮相比较,第三批国家组织药品集中采购工作中选药品种类多、涉及范围广,除了治疗高血压、糖尿病等慢性疾病的药品种类,一些恶性肿瘤、精神类疾病的治疗药品以及外用药物滴眼液也在集采范围之内,共有中选品种55个。
市医保局相关负责人介绍,此次集采惠及众多慢性病患者,55种中选药品,在自贡平均降幅达72.9%,最高降幅达94%。例如,痛风患者长期服用非布司他,每天1 片 ,每片价格从原来的11.30 元下降到了1.03元,一年预计节约费用3697.20元;糖尿病患者每月盐酸二甲双胍缓释片药费接近60元,现在每个月只需要11.40元,大大降低了他们的药费负担。此外,其他常用药也降价明显,治疗消化系统疾病的奥美拉唑肠溶胶囊降价幅度达90%以上;治疗感冒头痛的布洛芬胶囊及颗粒,降价幅度也达到了75%以上。
![]()
下一步,市医保等相关部门将继续发挥“搭平台、促对接、保供应、强监管”的作用,抓好国家组织药品集中带量采购和使用工作,不断深化药品、医用耗材集中带量采购制度改革,完善医保支付标准与集中采购价格协同机制,让自贡人民用上更多质优价廉的好药,减轻患者用药负担。
编辑:陈翠

0