最近读到了由自贡市档案馆整理修复,并影印出版的馆藏典籍《自流井》,作者为清末民国初年的傅崇榘。傅崇榘(1875—1917年),字樵村,号樵斧、樵甫、老樵、樵子、新樵、樵春、樵新子等,四川简阳石盘乡人,成都尊经书院肄业,宋育仁时任尊经书院山长,是宋育仁的学生。傅崇榘也是清末四川报业先驱,主要从事办报、印刷及出版工作,著述100余种,以游记和地方风土志着称。
该书以自流井为线索,“详细记录了民国初期自贡地区的盐业生产管理、食盐运销、盐业群体及自然地理、城市肌理、交通路网、医疗卫生、寨堡庙宇、风土人情、社会百态等”各个方面闻见。该书以自流井的图片风貌、起源、今昔和将来开篇,详细记述了自流井的气候、街道、地势、饮水、庙宇、教堂、医院、学校、政府、盐运、银行、盐商、井灶、商会,以及袍哥组织、妓院等44个方面的内容。在“自流井之原始”这一部分,作者记录了当时采访王和甫、李晋材的对话,明确地说明了关于自流井来源的表述,相传盐水“多从平地涌出,不假人工錾凿”“闻王和甫李晋材氏云”,自流井古已有之,“在郭家坳上桥之火井沱河岸”,因卤水浓度不够高,遂“用一大盐锅,将该穴覆盖,现已没于乱岩石中矣”,由此可证盐史研究中,多年来关于“自流井”具体位置的悬疑。
可以说《自流井》是一部早期自流井盐场“百科全书式的,具有文化人类学意蕴和兼具地方志、地理志、民俗志风格的力作”。
更为难得的是,该书在最后单列了一个部分“自流井之诗词”,分为“滑稽竹枝词”(40首),“自井杂事诗”(16首),“游戏声律启蒙”(2首)三个部分,共计58首作品。本文主要就作者《自流井诗词》作品,谈几点个人的初步认识。
当民国五年的金戈铁马声掠过自流井的盐场,傅崇榘以“樵斧”为笔名,将盐井蒸腾的水汽、街市喧嚣的人声、官场翻覆的乱象,都揉进了竹枝词的平仄里。这部《自流井诗词》恰似一口深钻的盐井,向下掘进着民国初年的社会肌理,向上喷涌着民间生活的鲜活气息。它不仅是诗,更是史;不仅是艺术,更是一面照见时代的青铜镜,在百年后的今天,仍能从中窥见自流井的盐粒如何折射出一个民族的生存智慧与精神褶皱。
《自流井诗词》最震撼的价值,在于它以诗为史笔,将转瞬即逝的历史现场凝固成永恒的文字。1915年的中国,正处在帝制与共和的剧烈撕扯中——傅崇榘在序言中说“时而帝制,时而民国,时而战争,时而独立”,半年间的风云变幻,被他化作《滑稽竹枝词》里的生动切片。
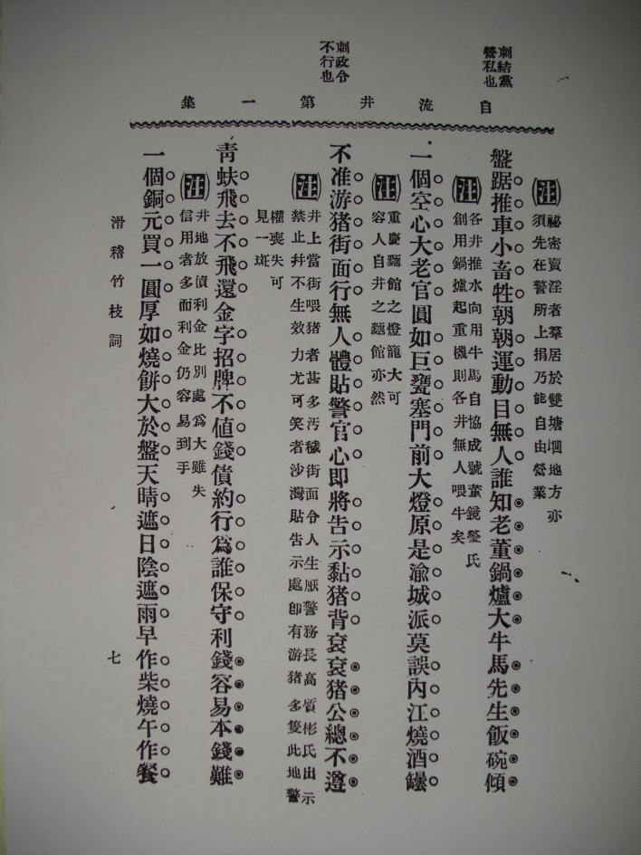
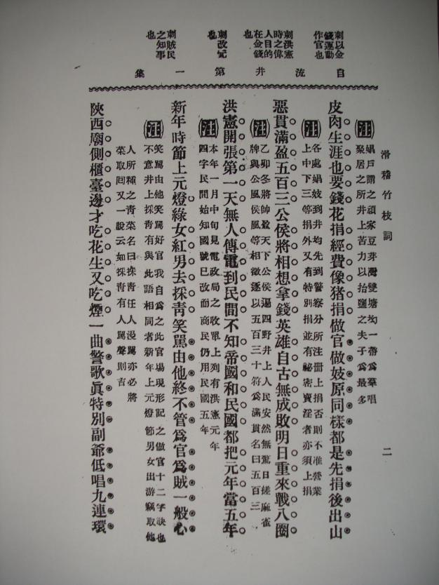
“洪宪开张第一天,无人传电到民间。不知帝国和民国,都把元年当五年”,短短四句,道尽了制度更迭的荒诞。注释里说电政局收单已标“洪宪元年”,商民却固执沿用“民国五年”,这种官方与民间的时间错位,恰似一面棱镜,折射出民众对权力游戏的疏离。而“闻说筹安尚未筹,此间先已演封侯。煞他风景开风气,多少侯爷产出头”,则以“封侯”为靶,借从重庆来井的鄂妓封玉容,与盐商侯子男冲突的笑谈,影射袁世凯筹安会闹剧下“封侯数十人”的虚妄。“煞风景”三字藏辛辣,把官场封爵比作娱乐场所的游戏,将政治投机者的丑态倒映在盐井深黑色的卤水之上。作者在眉注点出“刺封侯之多”,注释则揭出“封侯梦不长”的谶语,以俗事写大事,于戏谑中见历史荒诞,显民间诗性智慧。
更珍贵的是,这些诗作绝非宏大叙事的附庸,而是充满了可触摸的民生体温。“白日挂灯笼”的绅商仪仗,被成都人笑作“端公”(道士),一个地域习俗的对比,便暴露了特权阶层的虚矫;“抬炮背枪都小事,大家棉絮要留神”,写北军过境时搜掠民间被盖的恐慌,让历史不再是冰冷的事件,而成为每个家庭“无夜不防被窝飞去”的切肤之痛。这种从宏大到微末的视角转换,让民国初年的社会动荡有了具象的载体——盐场的卤水蒸腾处,正是历史最真实的褶皱。
自流井因盐而生,《自流井诗词》便如一口“卓筒井”,深掘出盐业文明的层理。傅崇榘以盐业见证者的敏锐,捕捉到盐场特有的生产细节与行业生态,为中国井盐史留下了诗意的注脚。
“堂名三畏四方传,万井云连万灶烟。畏到大人天命外,圣言休误剩人盐。”自贡盐业家族中,当以王家“万井”“万灶”井灶最多,声望最为显赫,其堂号曰“三畏堂”,语本出自《论语·季氏》,子曰:“君子有三畏:畏天命,畏大人,畏圣人之言”。这首诗眉注明确点题“刺订盐不捆也”。自流井盐场,生产好的盐出库的时候要“捆盐”,出垣还须再捆,即用篾包子捆扎好,便于运输。“不捆”盐易散漏,且节约包装成本,显然是批评盐商因小利而失德,由于“不捆”导致“剩人盐”(圣人言),揭其逐利本质。“畏到大人天命外”点出其背离道义,于典故活用,谐音巧用中见批判锋芒,显针砭时弊之巧。
“自井自煎还自运,谦辞还说不如人”,一句看似平淡的自述,揭开了盐业经营的复杂图景——有租井者、有租火者,而“自井自煎”者被视为行业标杆,这背后是井盐生产“井火相依”的特殊逻辑。注释里说“引井火煮盐,以圈数计,火之旺者,有八百圈之多”,“圈口匀分八百圈”的描述,让人仿佛看见盐灶连绵、火光映天的盛景,而“隆街复昌源客店之厨火,即井火也,其色青碧”,则将盐业能源延伸至日常生活,可见盐与民生的血脉相连,也佐证了天然气在自贡市早期的广泛使用。
更具历史价值的,是盐业转型的记录。“盘踞推车小畜牲,朝朝运动目无人。谁知老董锅炉大,牛马先生饭碗倾”,写协成号董镜莹用锅炉起重机替代牛马推水,让“无人喂牛”的变局,成为工业文明冲击传统盐业的隐喻。而“敞口盐巴格外香”的调侃,实则指向盐业管理的细节——“抬入公垣之票盐,用圆篾包装不封包口”,这种特殊的包装方式,既关乎盐的特性,也暗含盐政管理的漏洞,被傅崇榘以“官场原不重关防”的讽刺点破,让盐业史有了人性的温度。
如果说盐业是自流井的骨,民俗便是它的肉。《自流井诗词》如一台民俗摄像机,记录下民国初年自贡地区的节庆、娱乐、饮食等生活细节,成为民俗研究的“活化石”。
“今朝传说太阳生,买个红灯六角形”,写旧历冬月“太阳生日”挂红灯的习俗,家家户户“挂十余个至二三十个”,让冬日的盐场有了温暖的仪式感。这是否也是自贡灯会形成过程中的民间推手;“新年时节上元灯,绿女红男去探青”,记上元节“采青”的奇俗——男女窃取他人青菜,任人谩骂反以为吉,这种带点“恶作剧”的节庆活动,鲜活如在眼前。而“又拍酥胸又拍肩,美人跳舞正街前。姑娘唱个川东调,柳柳莲来柳柳莲”,则记录了民间艺术“柳柳莲”(今称“打柳棍”)的表演场景,两片竹铁连环伴奏,尾音“柳柳莲”的重复,仿佛能听见那泼辣明快的川东腔调。
“王爷庙外晚晴天,渔户羣居浅水边。有女十三郎十五,一人一个老鸦船”。此诗勾勒出王爷庙外渔户生活图景。“晚晴天”衬“山水清幽”,以“十三女”“十五郎”的鲜活年龄,配“一人一个老鸦船”的特写,定格渔家少年与鱼鹰相依的日常。注释点出“养鱼老鸦捕鱼”的地方特色,诗中不见喧嚣,唯余恬淡,于平实语汇中藏民俗密码,为自流井风情留一帧诗意剪影。
《自流井诗词》对饮食民俗的记录更见生活质感。自贡地名有“牛矢山”“牛矢巷”,牛曾经是古代自流井盐场重要的生产力,是自贡盐场的图腾。养牛数量几乎与人口数相等,蔚为大观。但因此也造成了牛粪对环境的污染,解决的办法是将牛粪收集起来晒干用作燃料,这是一种生活的智慧。“一个铜元买一圆,厚如烧饼大于盘”,说的就是居民以“牛矢饼”为柴,大者“值当十铜元一枚”,竟能“天晴遮日阴遮雨”,这种将粪便转化为能源的智慧,带着泥土的粗犷。“井水名传猪尿胞,燃烟点豆便为高”,写饮水不洁时,“尿胞井水”因能“点豆花”被视为好水,而“二道桥清泉”的珍贵,则反衬出盐区水利的窘迫。这些带着“土腥气”的细节,恰是民俗最本真的模样。
作为清末四川报业先驱,傅崇榘的诗词创作本身就是一场诗学革命。他打破传统诗词的雅化壁垒,以“仿王建凉州歌不拘韵”为旗帜,将方言、俗语、时事融入诗行,让竹枝词成为干预现实的利器。
《自流井诗词》的讽刺艺术尤见功力。“皮肉生涯也要钱,花捐经费像猪捐。做官做妓原同样,都是先捐后出山”,以娼妓“注册上捐”与官场“金钱运动”作比,一个“同样”道尽制度的荒诞;“不准游猪街面行,无人体贴警官心。即将告示黏猪背,衮衮猪公总不遵”,用“猪背贴告示”的夸张场景,讽刺政令不行的官场乱象,幽默中带着刺骨的清醒。这种讽刺不是尖酸刻薄,而是如盐井的凿子,精准凿向社会的病灶。
语言上的“俗化”更具突破性。“牛矢饼”“打扁担”“三丁拐”等方言词汇的大量使用,让诗词褪去文人腔,充满市井的烟火气;“盐夫遥指豆芽湾”的白描,“肚皮到井自然通”的直白,“问他松个话[léng]凶”语言的方言化,恰似自流井的卤水,质朴而有力量。傅崇榘曾创办《通俗画报》,主张“教育救国”,这种诗学实践与他的办报理念一脉相承——让诗歌成为民众能懂、能传、能共鸣的“白话史”。
百年后的今天,当我们翻开《自流井诗词》,仍能听见盐井天辊子地辊子的转动声、街市的吆喝声、盐工的号子声。傅崇榘以诗人的敏感、报人的锐度、史家的严谨,为自流井写就了一部“诗性方志”。它的价值,不仅在于记录了自流井盐场的兴衰,更在于证明:真正的诗歌从不在象牙塔中,而在烟火人间里——在盐井的卤水与诗行的墨香交融处,在对民生的关切与对时代的叩问里,永远有不朽的诗性在生长。
编辑:王斯璇
责任编辑:冉华阳
编审:韩钰

0